0316活動大標題

0316活動小標題介紹,0316活動小標題介紹,0316活動小標題

最新消息

首頁 > 最新消息 > 「有限合夥組織創業投資事業租稅獎勵適用辦法」修正草案公告

【創投公告】

「有限合夥組織創業投資事業租稅獎勵適用辦法」修正草案公告

2025-08-26

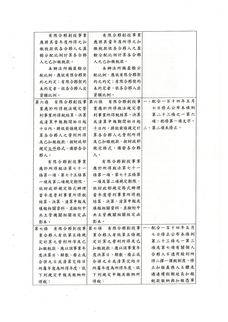
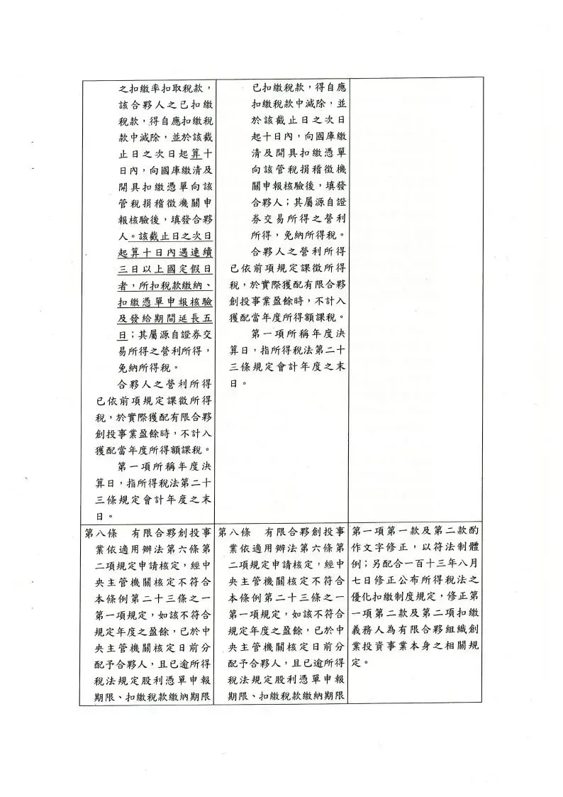
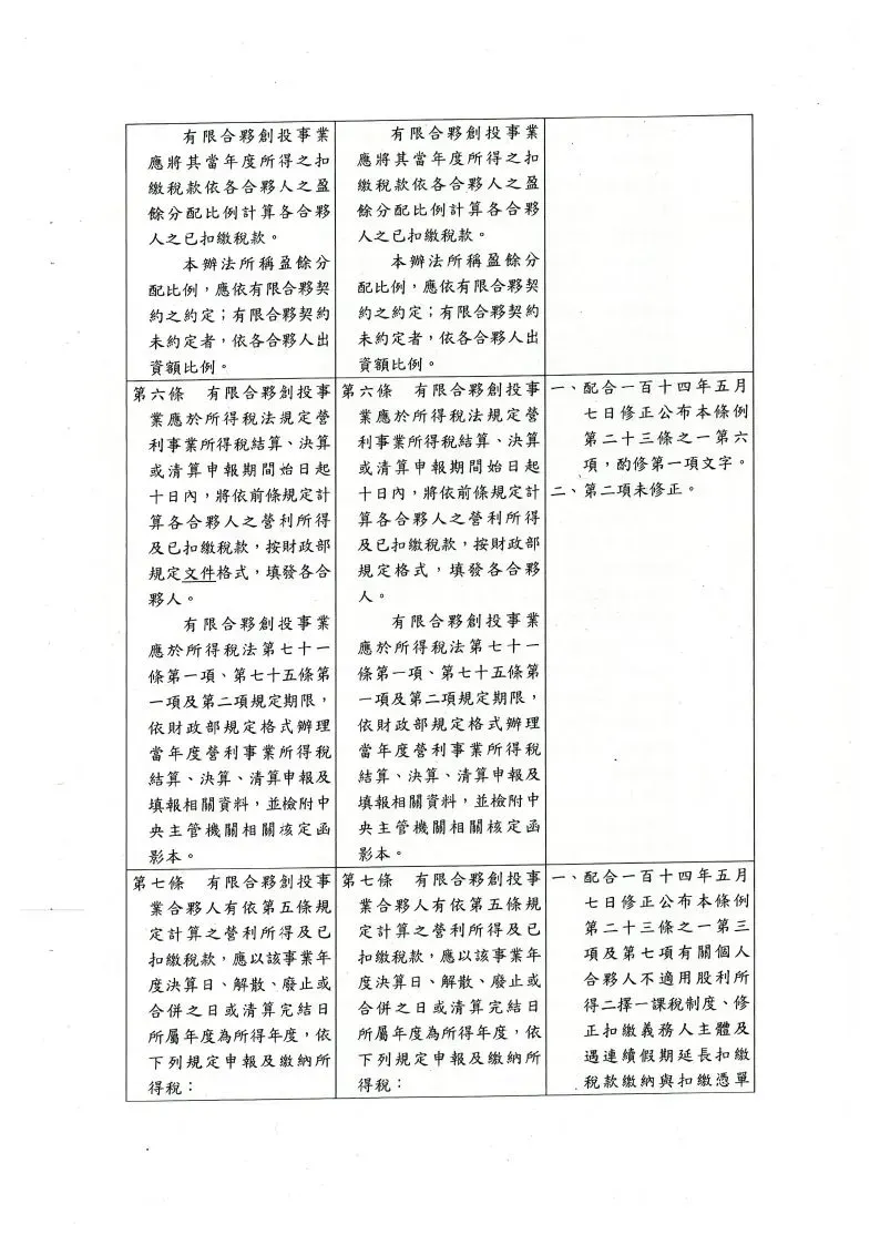
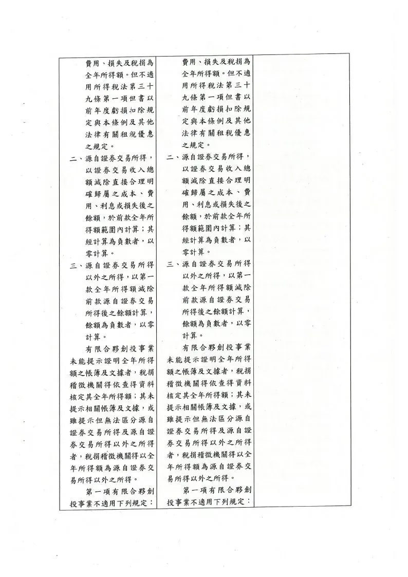
預告修正「有限合夥維織創業投資事業稈視獎勵所得計算及申報辦法」草案,詳如下圖及附件,敬請查照



想要了解更多活動的資訊?

留言給我們

聯絡我們簡短介紹聯絡我們簡短介紹聯絡我們簡短

留下您的聯絡資訊